润滑届的冉冉新星-摩擦改进剂MoDTC
发布日期:2022-10-10 浏览次数:46
摩擦学,顾名思义,是研究表面摩擦的一门学科,是研究相对运动的作用表面间的摩擦、润滑和磨损。
摩擦学对人类文明的进步也起到了巨大作用,原始社会燧人摩擦取火(钻木取火)标志着人类开始走向文明。公元前9000年出现滑橇,公元前4600年中国出现以滚动摩擦替代滑动摩擦的车等使人类摆脱了原始生活模式。
随着科技的进步,目前减少摩擦有主要有两种方式:
①润滑;
②将涂层或者表面处理应用到机械零部件从而减少摩擦系数,减少磨损。
润滑与摩擦的关系
润滑就是在相对运动的两个物体中加入润滑剂,使摩擦副被油膜隔离开,降低摩擦阻力,减少磨损。机械摩擦副表面间的润滑状态,可根据润滑膜的形成机理和特征分为以下5种:
1.流体动压润滑;
2.弹性流体动压润滑;
3.流体静压润滑;
4.边界润滑;
5.无润滑或干摩擦状态;
①~③又称流体润滑。根据两对偶表面粗糙度综合值R与油膜厚度h的比值关系,可将润滑的类型区分为流体润滑、混合润滑和边界润滑。图为斯特里贝克(STRIBECK)曲线,分析了载荷、运动速度及润滑油粘度与摩擦系数之间的关系 :
载荷、运动速度及润滑油粘度与摩擦系数
之间的关系
MoDTC在润滑油中的作用
MoDTC在润滑油中的作用润滑油由基础油和添加剂组成,添加剂类型主要有分散剂、清净剂、粘度指数改进剂以及摩擦改进剂等。二烷基二硫代氨基甲酸钼(MoDTC)作为摩擦改进剂,是近几年冉冉升起的一颗新星,它具有较高的钼元素与硫元素含量,不但能提高载荷能力,还能改善目前大家最关注的一个痛点——燃油经济性,是一种优良的高温低腐蚀抗氧抗磨及减摩的多功能添加剂。
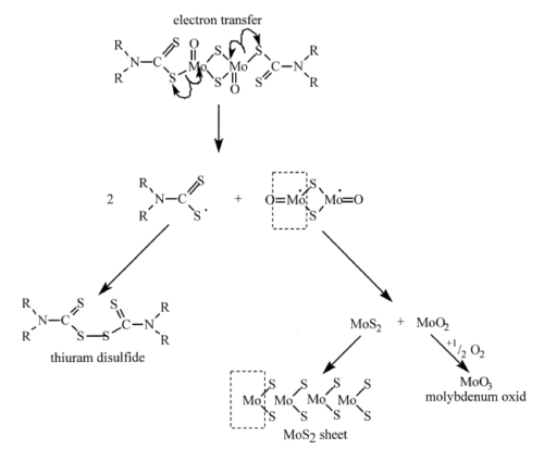
MoDTC的分解示意图
MoDTC热分解的机理:MoDTC→MOS2,有机钼通常以液态形式溶于润滑剂中,在摩擦过程中能够在摩擦表面形成具有减摩抗磨作用的物理化学吸附膜。
研究表明MODTC在250℃具有最好的减摩效果,320℃失去抗磨效果,125℃生成含量更高的MOS2,而具有更好的减摩抗磨性,添加量通常推荐0.5%~1.0%,其不含磷元素,减少了汽车尾气净化器的中毒,化学性能稳定,且高温易分解,因此在高温条件下MoDTC抗磨减摩性能更为突出。
MoDTC的合成技术
MoDTC的合成技术主要有三种
01.固体MoDTC制法(低级烷烃有机钼为固体)
该方法采用两种方法溶解MoO3作为钼源。
(a)用氨水或者氢氧化钠溶解MoO3,经酸中和至中性后,再加入二异辛胺和CS2,加热至一定温度反应,制得产品。
(b)将MoO3溶解于二异辛胺中,再加入二异辛胺和CO2,加热至一定温度反应,制得产品。
02.液体MoDTC制法(大于12个碳的烷烃为液体)
通过将六价钼源用硫氢化钠或硫化钠溶解,混合CO2,二异辛胺,矿物酸,还原剂制得MoDTC。用此方法制得的优点是产物产率高,腐蚀性低,摩擦性能好,润滑特性佳。
03.含不对称烷基MoDTC制法
采用的胺源为二异十三胺、异癸氧丙基丙胺或C12-C15的烷氧丙基异丙胺(采用不同的胺源,可以制得不同的烷基特征的MoDTC)。用此方法制得的优点是MoDTC具有更好的低温油溶解性。
我司长期致力于为润滑油和添加剂生产厂家提供优质原材料的推广和供货服务,目前与多家行业巨头建立了深度的合作关系。我司代理销售的二异辛胺和二异十三胺,可满足MoDTC的生产需求。同时,我司拥有完善的仓储物流体系,可为客户提供专业稳定优质的供货服务。
联系方式:李玉客 17366015216
免责声明:本文中部分图片及资料来源于网络,版权归原作者所有。如涉及作品版权问题,请与我们联系删除!谢谢!
本文中数据、资料通过公开信息或合法渠道获得,不保证所载信息的准确性和完整性,仅供读者参考,不构成任何投资、法律、会计或税务的最终操作建议,任何通过本文作出的投资决策与本公众号无关。
摩擦学,顾名思义,是研究表面摩擦的一门学科,是研究相对运动的作用表面间的摩擦、润滑和磨损。
摩擦学对人类文明的进步也起到了巨大作用,原始社会燧人摩擦取火(钻木取火)标志着人类开始走向文明。公元前9000年出现滑橇,公元前4600年中国出现以滚动摩擦替代滑动摩擦的车等使人类摆脱了原始生活模式。
随着科技的进步,目前减少摩擦有主要有两种方式:
①润滑;
②将涂层或者表面处理应用到机械零部件从而减少摩擦系数,减少磨损。
润滑与摩擦的关系
润滑就是在相对运动的两个物体中加入润滑剂,使摩擦副被油膜隔离开,降低摩擦阻力,减少磨损。机械摩擦副表面间的润滑状态,可根据润滑膜的形成机理和特征分为以下5种:
1.流体动压润滑;
2.弹性流体动压润滑;
3.流体静压润滑;
4.边界润滑;
5.无润滑或干摩擦状态;
①~③又称流体润滑。根据两对偶表面粗糙度综合值R与油膜厚度h的比值关系,可将润滑的类型区分为流体润滑、混合润滑和边界润滑。图为斯特里贝克(STRIBECK)曲线,分析了载荷、运动速度及润滑油粘度与摩擦系数之间的关系 :
载荷、运动速度及润滑油粘度与摩擦系数
之间的关系
MoDTC在润滑油中的作用
MoDTC在润滑油中的作用润滑油由基础油和添加剂组成,添加剂类型主要有分散剂、清净剂、粘度指数改进剂以及摩擦改进剂等。二烷基二硫代氨基甲酸钼(MoDTC)作为摩擦改进剂,是近几年冉冉升起的一颗新星,它具有较高的钼元素与硫元素含量,不但能提高载荷能力,还能改善目前大家最关注的一个痛点——燃油经济性,是一种优良的高温低腐蚀抗氧抗磨及减摩的多功能添加剂。
MoDTC的分解示意图
MoDTC热分解的机理:MoDTC→MOS2,有机钼通常以液态形式溶于润滑剂中,在摩擦过程中能够在摩擦表面形成具有减摩抗磨作用的物理化学吸附膜。
研究表明MODTC在250℃具有最好的减摩效果,320℃失去抗磨效果,125℃生成含量更高的MOS2,而具有更好的减摩抗磨性,添加量通常推荐0.5%~1.0%,其不含磷元素,减少了汽车尾气净化器的中毒,化学性能稳定,且高温易分解,因此在高温条件下MoDTC抗磨减摩性能更为突出。
MoDTC的合成技术
MoDTC的合成技术主要有三种
01.固体MoDTC制法(低级烷烃有机钼为固体)
该方法采用两种方法溶解MoO3作为钼源。
(a)用氨水或者氢氧化钠溶解MoO3,经酸中和至中性后,再加入二异辛胺和CS2,加热至一定温度反应,制得产品。
(b)将MoO3溶解于二异辛胺中,再加入二异辛胺和CO2,加热至一定温度反应,制得产品。
02.液体MoDTC制法(大于12个碳的烷烃为液体)
通过将六价钼源用硫氢化钠或硫化钠溶解,混合CO2,二异辛胺,矿物酸,还原剂制得MoDTC。用此方法制得的优点是产物产率高,腐蚀性低,摩擦性能好,润滑特性佳。
03.含不对称烷基MoDTC制法
采用的胺源为二异十三胺、异癸氧丙基丙胺或C12-C15的烷氧丙基异丙胺(采用不同的胺源,可以制得不同的烷基特征的MoDTC)。用此方法制得的优点是MoDTC具有更好的低温油溶解性。
我司长期致力于为润滑油和添加剂生产厂家提供优质原材料的推广和供货服务,目前与多家行业巨头建立了深度的合作关系。我司代理销售的二异辛胺和二异十三胺,可满足MoDTC的生产需求。同时,我司拥有完善的仓储物流体系,可为客户提供专业稳定优质的供货服务。
联系方式:李玉客 17366015216
免责声明:本文中部分图片及资料来源于网络,版权归原作者所有。如涉及作品版权问题,请与我们联系删除!谢谢!
本文中数据、资料通过公开信息或合法渠道获得,不保证所载信息的准确性和完整性,仅供读者参考,不构成任何投资、法律、会计或税务的最终操作建议,任何通过本文作出的投资决策与本公众号无关。
- 上一篇:化学中的“桥梁”----硅烷偶联剂
- 下一篇:硅橡胶应用概述

